missing translation for 'onlineSavingsMsg'
Learn More

Invitrogen™ BMAL1 Polyclonal Antibody

Rabbit Polyclonal Antibody

Brand:  Invitrogen™ PA534706

Product Code. 15328581

  • € 566.00 / 100µL

Please to purchase this item. Need a web account? Register with us today!

This item is not returnable. View return policy

Description

Description

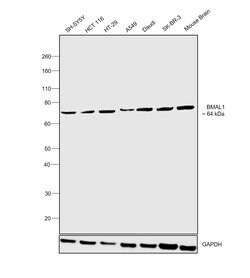
Recommended positive controls: BMAL1 tansfected 293T cell, mouse brain. Predicted reactivity: Mouse (99%), Rat (99%), Xenopus laevis (96%), Pig (99%), Chicken (97%), Sheep (100%), Rhesus Monkey (100%), Bovine (100%). IHC notes, Requires antigen retrieval using heat mediated 10mM Citrate buffer (pH6.0) or Tris-EDTA buffer (pH8.0) Store product as a concentrated solution. Centrifuge briefly prior to opening the vial.

The protein encoded by this gene is a basic helix-loop-helix protein that forms a heterodimer with CLOCK. This complex binds an E-box upstream of the PER1 gene, activating this gene and possibly other circadian rhythym-associated genes. Three transcript variants encoding two different isoforms have been found for this gene.
TRUSTED_SUSTAINABILITY
Specifications

Specifications

BMAL1
Polyclonal
Unconjugated
Arntl
Arnt3; ARNTL; ARNT-like protein 1, brain and muscle; aryl hydrocarbon receptor nuclear translocator like; aryl hydrocarbon receptor nuclear translocator-like; aryl hydrocarbon receptor nuclear translocator-like protein 1; basic-helix-loop-helix-PAS orphan MOP3; basic-helix-loop-helix-PAS protein MOP3; bHLHe5; bHLH-PAS protein JAP3; BMAL1; Bmal1 protein; BMAL1b; bmal1b'; BMAL1c; Brain and muscle ARNT-like 1; brain and muscle Arnt-like protein 1; CG8727 PA; class E basic helix-loop-helix protein 5; cycle; JAP3; LOW QUALITY PROTEIN: aryl hydrocarbon receptor nuclear translocator-like protein 1; member of PAS protein 3; member of PAS superfamily 3; MGC47515; MOP3; PAS domain-containing protein 3; PASD3; testis tissue sperm-binding protein Li 50e; tic
Rabbit
Antigen affinity chromatography
RUO
11865, 406
Store at 4°C short term. For long term storage, store at -20°C, avoiding freeze/thaw cycles.
Liquid
Western Blot, Immunocytochemistry
0.65 mg/mL
0.1M tris glycine with 10% glycerol and 0.01% thimerosal; pH 7
O00327, Q9WTL8
Arntl
Recombinant protein encompassing a sequence within the center region of human BMAL1. The exact sequence is proprietary.
100 μL
Primary
Human, Mouse
Antibody
IgG
Product Suggestions

Product Suggestions

Videos
SDS
Documents

Documents

Certificates
Promotions

Promotions

Product Content Correction

Your input is important to us. Please complete this form to provide feedback related to the content on this product.

Product Title

By clicking Submit, you acknowledge that you may be contacted by Fisher Scientific in regards to the feedback you have provided in this form. We will not share your information for any other purposes. All contact information provided shall also be maintained in accordance with our Privacy Policy.

Thank You! Your feedback has been submitted. Fisher Scientific is always working to improve our content for you. We appreciate your feedback.