missing translation for 'onlineSavingsMsg'
Learn More

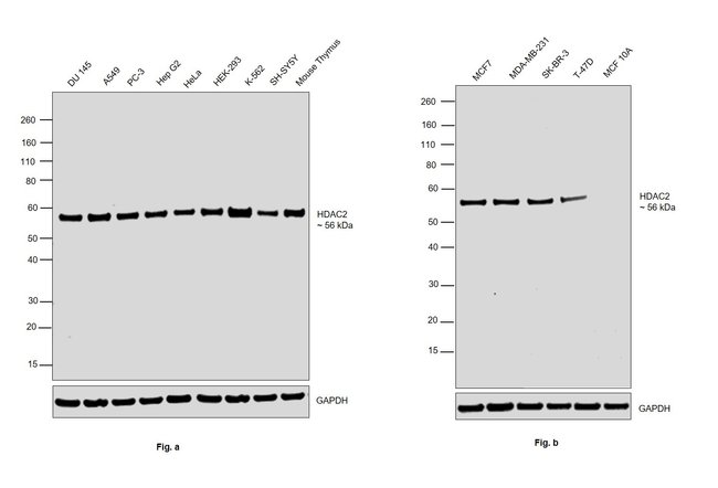
Invitrogen™ HDAC2 Monoclonal Antibody (HDAC2-62)

Mouse Monoclonal Antibody

Brand:  Invitrogen™ MA125451

Product Code. 11504942

  • € 654.00 / 100µL

Please to purchase this item. Need a web account? Register with us today!

This item is not returnable. View return policy

Description

Description

Recommended positive controls: NIH3T3. Store product as a concentrated solution. Centrifuge briefly prior to opening the vial.

HDAC2 belongs to the histone deacetylase family. Histone deacetylases act via the formation of large multiprotein complexes and are responsible for the deacetylation of lysine residues at the N-terminal regions of core histones (H2A, H2B, H3 and H4). This protein forms transcriptional repressor complexes by associating with many different proteins, including YY1, a mammalian zinc-finger transcription factor. Thus, it plays an important role in transcriptional regulation, cell cycle progression and developmental events. Alternative splicing results in multiple transcript variants.
TRUSTED_SUSTAINABILITY
Specifications

Specifications

HDAC2
Monoclonal
2.5 mg/mL
PBS with 15mM sodium azide; pH 7.4
P56519, P70288, Q92769
HDAC2
Synthetic peptide corresponding to the C-terminal region of human histone deacetylase 2 (amino acid residues 471-488 with N-terminal added cysteine) conjugated to maleimide-activated KLH.
100 μL
Primary
Bovine, Canine, Chicken, Human, Mouse, Rat
Antibody
IgG2b
ChIP Assay, ELISA, Immunohistochemistry, Immunoprecipitation, Western Blot, Immunocytochemistry
HDAC2-62
Unconjugated
HDAC2
D10Wsu179e; HD2; hdac 2; Hdac2; hdac-2; Histone deacetylase 2; histone deacetylase 2-like protein; histone deacetylase-2; I79_010219; mRPD3; RPD3; transcriptional regulator homolog RPD3; YAF1; YY1 transcription factor-binding protein; YY1-associated factor 1; Yy1bp
Mouse
Purified
RUO
15182, 3066, 395635, 407223, 475035, 84577
Store at 4°C short term. For long term storage, store at -20°C, avoiding freeze/thaw cycles.
Liquid
Product Suggestions

Product Suggestions

Videos
SDS
Documents

Documents

Certificates
Promotions

Promotions

Product Content Correction

Your input is important to us. Please complete this form to provide feedback related to the content on this product.

Product Title

By clicking Submit, you acknowledge that you may be contacted by Fisher Scientific in regards to the feedback you have provided in this form. We will not share your information for any other purposes. All contact information provided shall also be maintained in accordance with our Privacy Policy.

Thank You! Your feedback has been submitted. Fisher Scientific is always working to improve our content for you. We appreciate your feedback.