missing translation for 'onlineSavingsMsg'
Learn More

DiscoverX PathHunter™ eXpress ErbB2-ErbB3 Functional Assay

Product Code. 17323359
Encompass
Click to view available options
Quantity:
200 dp (2 x 96-well)
Unit Size:
1 set
This item is not returnable. View return policy

Product Code. 17323359

Brand: DiscoverX 930535E3CP16M

Please to purchase this item. Need a web account? Register with us today!

This item is not returnable. View return policy

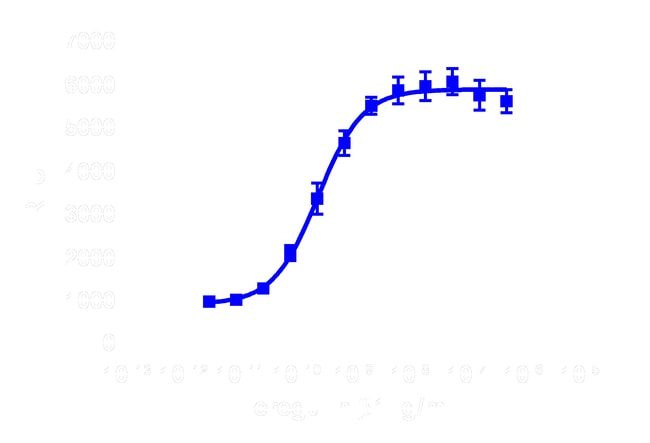
The PathHunter™ eXpress ErbB2-ErbB3 Functional Assay measures ErbB2-ErbB3 receptor tyrosine kinase activity via ligand-induced SH2 domain protein recruitment. eXpress kits contain all assay materials: cells, reagents, and plates.

The PathHunter™ eXpress ErbB2-ErbB3 Functional Assay provides an easy-to-use cell based assay to study drug candidates (small molecules or biologics) targeting RTKs. This kit assesses RTK activation via detection of activated ErbB2 and ErbB3 dimerization-induced SH2 domain protein recruitment. This product uses EFC technology. The included cells overexpress PK-tagged ErbB2 and an EA-tagged SH2 domain protein. It also overexpresses an untagged coreceptor, ErbB3 Upon ligand-induced receptor activation, SH2-EA recruitment leads to production of EFC signal. eXpress kits are a convenient, ready-to-use format which contains all materials needed to run the assay, including single-use vials of cryopreserved cells, cell plating media, detection reagent, and assay plates.

Specifications

Assay Entry Kinase
For Use With (Application) Assay-Ready eXpress Kits
Quantity 200 dp (2 x 96-well)
Target Entry ErbB2-ErbB3
Target ErbB2-ErbB3
Product Content Correction

The Fisher Scientific Encompass Program offers items which are not part of our distribution portfolio. These products typically do not have pictures or detailed descriptions. However, we are committed to improving your shopping experience. Please use the form below to provide feedback related to the content on this product.

Product Title

By clicking Submit, you acknowledge that you may be contacted by Fisher Scientific in regards to the feedback you have provided in this form. We will not share your information for any other purposes. All contact information provided shall also be maintained in accordance with our Privacy Policy.

Thank You! Your feedback has been submitted. Fisher Scientific is always working to improve our content for you. We appreciate your feedback.